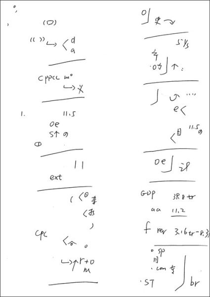
2011年温总理做政府工作报告,这里是一份报告内容的速记符号图,大家可以看一下,专业口译员是如何进行速记的,会用到哪些符号和缩略词。大家不妨先看着文本自己做笔记,然后再跟图对照一下吧。

2011温总理政府工作报告速记图
各位代表:Fellow Deputies,
现在,我代表国务院,向大会作政府工作报告,请各位代表审议,并请全国政协委员提出意见。On behalf of the State Council, I now present to you my report on the work of the government for your deliberation and approval. I also invite the members of the National Committee of the Chinese People's Political Consultative Conference (CPPCC) to submit comments and suggestions。
一、“十一五”时期国民经济和社会发展的回顾I. Review of National Economic and Social Development During the Eleventh Five-Year Plan Period
“十一五”时期是我国发展进程中极不平凡的五年。面对国内外复杂形势和一系列重大风险挑战,中国共产党团结带领全国各族人民,全面推进改革开放和现代化建设,国家面貌发生了历史性变化。The Eleventh Five-Year Plan period was a truly extraordinary time in the course of the country's development. In the face of complex domestic and international situations and a series of major risks and challenges, the Communist Party of China (CPC) united with and led the people of all the country's ethnic groups in comprehensively advancing reform, opening up and modernization, bringing about a historic change in China over the past five years。
——这五年,我国社会生产力、综合国力显著提高。我们有效应对国际金融危机冲击,保持经济平稳较快发展,胜利完成“十一五”规划的主要目标和任务,国民经济迈上新的台阶。国内生产总值达到39.8万亿元,年均增长11.2%,财政收入从3.16万亿元增加到8.31万亿元。载人航天、探月工程、超级计算机等前沿科技实现重大突破。国防和军队现代化建设取得重大成就。- The country's productive forces and overall national strength improved significantly. We effectively warded off the impact of the global financial crisis, maintained steady and rapid economic development and fulfilled the major objectives and tasks of the Eleventh Five-Year Plan, and the economy scaled new heights. GDP grew at an average annual rate of 11.2% to reach 39.8 trillion yuan. Government revenue increased from 3.16 trillion yuan to 8.31 trillion yuan. Major breakthroughs were attained in cutting-edge science and technology such as the manned space mission, the lunar exploration program and supercomputers. Great progress was made in the modernization of national defense and the army。
注:
数字部分的笔记,39.8 tr,tr - trillion 万亿
aa 11.2:aa - average annual 年均
f rev 3.16tr - 8.31:f - financial,rev - revenue 财政收入
华译网翻译公司转载 |